The case of Saint Regis University (SRU), an online distance-learning school which between 2002 and 2004 held recognition by the government of Liberia, is uniquely complex and problematic in the study of transnational education and the questions of legitimacy and authority that it raises.
SRU was a radical and iconoclastic interloper in the higher education establishment. It was established by the owners of a successful trade school and brought the direct, no-nonsense approach of a trade school to the university sector. It did not so much challenge academia as threaten to destabilize it altogether. In the middle-class circles of university education, SRU was a blue-collar outsider not inclined to mind its manners. SRU was hugely successful, with many satisfied graduates, and made millions of dollars. It also made some extremely powerful enemies, determined not only to close it down but to demonize everything it had stood for.
In 2004, SRU found itself denounced by its opponents as a diploma mill in US Congressional hearings, with no right of reply and no attempt at a balanced presentation. Subsequently, the United States government let it be known to the Liberian Ministry of Education that if it did not withdraw support for SRU, US funding to the Ministry might be withdrawn. Mired in legal troubles. SRU closed in late 2004. Then, in 2005, criminal charges were filed against eight US citizens involved in the operation of SRU. All eight subsequently pleaded guilty, thus meaning that no trial took place and many of the most significant arguments surrounding the case were not tested in court.
There remain troubling questions about the role of the US government in the whole saga. The case itself raises serious issues of bias and due process. Its conclusions have also been subject to a great deal of politicization, both by the media and by the education establishment.
In the discussion below, I intend to tell the story of SRU, focussing on the following issues:
- What was SRU’s educational methodology?
- Was the claim by SRU that it held accreditation from the government of Liberia true, and if so, what did this accreditation mean?
- If the accreditation claim was true and meaningful, to what extent were degrees issued by SRU (a) legal and (b) legitimate?
- In the light of the above, what approach should be taken towards the many individuals who obtained degrees from SRU?
1. The birth of a revolutionary idea
The principals behind SRU were a married couple called Dixie Ellen Randock and Steven Karl Randock from Spokane, Washington. Before starting SRU, Dixie Randock had started and grown a real estate school to a position of significant success. She was smart, ambitious, single-minded and dedicated to making SRU a revolution in online schools. She was the educational mastermind behind what would become SRU, while Steve Randock handled the finances.
Dixie recalls,
I attended college quite a few years and was a very successful real estate broker with multiple offices and member of Spokane Club, Country Club, etc. My husband and I were millionaires long before ever starting SRU, had very successful businesses and exceptional reputations.
It was after we were embezzled [by their former accountant, who went to jail as a result] that I began putting together SRU, even though I had thought about it for a few years prior. The embezzlement of what police said was $600,000+ (actually much more) caused me to close my brokerages in WA and ID, although I kept the real estate/law school open. I had written all the State approved texts and courses for these schools myself, which are still in use in the school and other colleges to this day.
In 1999, Dixie had branched out and become the proprietor of AdvancedU.org. This offered degree programmes by using life experience credit. It asserted, “Our Evaluation & Endorsement Advisors evaluate and match your life experience with traditional college curriculums to provide you a wide variety of 100% verifiable degrees, certifications, credentials, designations and awards for “self-made” and “self-taught” experts in all fields. No classes or attendance is required, because this is NOT a school. Unlike school programs, The Evaluation & Endorsement Program is an evaluation process, which is done by only a few specialized organizations.”
The Evaluation and Endorsement Program used a concept described as “peer evaluation”, conducted by a “peer advisory” and administered by the Evaluation & Endorsement Peer Advisory Trust. By 2001, the evaluation body had developed into the Advanced Education Institute Trust (AEIT). The peer advisory idea was radical, for it suggested that rather than assessment being conducted by individuals of higher status than the candidate (as in traditional academia), it would actually be conducted by peers of similar status. Cohort or peer assessment had precedent in short-residency non-traditional mainstream programmes such as the University of Phoenix, and also at the Union Institute, whose doctoral committees were composed not only of mentors but also of peers. The Trust said of its process,
Our clients describe accreditation by their peers as the ultimate validation of their own knowledge and achievements, and their credentials as extremely valuable and proven in enhancing personal careers, gaining confidence to increase earning potential, improving self esteem, and heightening recognition, respect and appreciation by others.
Clearly, peer evaluation was a radical and nontraditional statement of educational philosophy – effectively asserting that any person who had received the proper training could be competent to recognize educational achievement gained through life experience and to map it to a degree curriculum. It also avoided some obvious problems in recruiting faculty. The faculty and doctoral graduates of mainstream universities were unlikely to have specialist expertise in experiential credit assessment or to be sympathetic to its revolutionary implications, rendering them unsuitable for appointment. Dixie said,
I researched the many ways available to earn college credits through an evaluation process of experience, self-study, independent studies and research, etc. I collected and studied the processes (e.g.; x years practical experience equaled x credits) and began creating a sort of matrix for our advisors to use that closely matched US and European universities.
Although not all our advisors held mainstream degrees, they did understand the equivalency matrix and also had access to sources when the credit might be given for research, dissertations, other papers, or independent studies.
The Trust made it quite clear that what was being offered was a non-traditional challenge to the mainstream.
This is a unique process, established for deserving individuals who for one reason or another did not obtain a degree in the traditional fashion.
Even the most stringent educators are coming to the realization that in today’s information age, an individual can reach and surpass college graduate levels of knowledge without ever stepping inside a “brick and mortar” classroom.
Many talented, intelligent, and creative individuals have attained more education than a college graduate by self-teaching, and learning through their own research, practice and work experience.
It is common knowledge that many of our world’s most innovative pioneers in technology, science, and practices belong to this group of individuals.
However, most universities arrogantly insist that you can ONLY attain a degree level education by enrolling, paying and attending a college for years.
Perhaps this thinking is meant to prevent a perceived conflict of the school’s own best interest, in that granting a degree to a self-educated person may take away tuition that might have otherwise been paid to the school.
Initially, AdvancedU.org awards said on the diploma that they were not degrees, and that the Evaluation & Endorsement Peer Advisory Trust was “a process, not a school”. Nevertheless, the market was looking for a product that would fit into the mainstream of credentials, and that meant awards that were described as degrees and, if they were not actually to be issued by schools, at least used names that were similar to schools. As of 2000, the website stated,
These are NOT schools, and they should not be confused with the names of any University. Please let us know which Peer Advisory Program name you prefer. You may choose from any of the Peer Advisory Programs:
Holy Acclaim University, Saint Lourdes University, Holmes University, Cathedra University, Audentes Technical College, Concorda Graduate Institute, Saint Concordia University or Valorem University.
Peer Advisories are assembled into groups of individuals who are considered to be experts in their subject areas.
These lines came to be further blurred, however. A year later, the same section read:
You may choose from many established Peer Advisory names, or you may choose a Custom Name. A custom name is any name that you choose or create and is not in use by an existing, accredited university or one that would infringe upon registered trademarks, symbols, etc. [A link was provided to unavailable names that were members of the Collegiate Licensing Company]
To view a list of names that AVAILABLE names that are no longer used, and are available, click the link for a list of Closed Universities & Colleges.
It must be stressed that the Academic Peer Advisories use words including “college”, “university”, “academy” etc., not as nouns, but as the lexis in their descriptive titles. The names are titles of Academic Peer Advisories, NOT schools. The programs do not offer courses or classes and are not for those who are beginning or continuing their academic education.
Viewed with the benefit of hindsight, this justification was too subtle a distinction to be grasped by most consumers. Documents that were the result of the peer advisory process continued to bear the seal of the Trust, and were worded so as to state that it was the awarding body, but started also to bear the names of genuine schools when these were chosen as Academic Peer Advisories. Moreover, they could be verified by the official verification centre (also maintained by AEIT) in whatever institution’s name was on the certificate.
While this might be ethically problematic, it was not a legal difficulty – at least not for AEIT as the issuing body, since there was no law against doing this in either Washington or Idaho. The documents from AEIT presented as exhibits in the SRU case are not similar to those provided by “replacement diploma” or “fake diploma” services that mimic the look and the signatures that appear on actual diplomas issued by the schools in question. Rather, they all use an identical and distinctive typeface and format. They bear the AEIT seal and state that the awarding body is “The Regents of the Evaluation and Endorsement Advisory and the President and Chief Provost” Other wording states, “Be it known that knowledge and proficiency has been demonstrated by completing and satisfying all requirements of the Regents of the Evaluation and Endorsement Advisory”. One transcript using the peer advisory name of “University of Maryland” gives Dominica as its address. The documents might well have produced confusion, but a straightforward reading would be unlikely to give the impression that they had been created to deceive.
At AEIT, as would be the case at SRU, each candidate was assigned an advisor for the duration of their programme. These peer advisors carried out assessment of the candidates and assigned credit to them. They had all received a full training programme and were equipped with a kit consisting of hundreds of electronic letters that were scripted responses to likely enquiries. Where an issue arose that they could not handle themselves, they would pass this on to senior management.
Peer advisory degrees could be backdated. The rationale was that if the applicant was qualifying on the basis of their experience, then their degree would logically have been earned at the point in time when that experience had reached the level required by their degree, rather than at the point when it was presented for credentialling,
Your degrees and transcripts will be dated as closely as possible to the time that you attained your education.
For example, if you reached a Bachelor Degree level education (without attending classes) by 1996, we recommend that your degree be dated no earlier than 1996. Then, if you attained a Master Degree level education by 1998, your degree should be dated 1998 or later, and so forth as your education level increased up to a Doctorate level.
The peer advisories allocated experiential credit by creating formal transcripts listing coursework that, according to them, were comparable to the applicant’s experience. These transcripts were based on the standard degree curriculums of mainstream universities. The final result did not indicate that credit had been earned through experiential assessment, and simply gave a list of courses, credits, grades and a grade point average.
Transcripting experiential credit in this way was in keeping with the practice of several mainstream schools that granted credit for experiential learning. For example, Charter Oak State College in Connecticut (www.charteroak.edu), a regionally accredited US institution, had at that time (and still has today) a bachelor’s degree programme in which it is possible to submit a portfolio of experiential learning credit to challenge a wide variety of courses that would otherwise be completed via examination or coursework.
In addition, applicants could transfer credit into the AEIT programme from other universities, which was permitted without limits on the age or amount of credit that could be transferred in. Many other institutions place artificial limits on credit transfer in order to compel the student to take a minimum number of credit-bearing courses with their school, irrespective of whether such a learning experience is academically necessary from the student’s perspective.
As was explained,
…you will receive transcripts for each degree, showing representative courses that correspond to your experience as compared to a traditional classroom setting. The transcripts show a traditional curriculum of courses that are the equivalent of the skills you have acquired as though you attended. There is no mention of “equivalency”. The dates and grades and grade point average will appear.
An enormous amount of research and labor is required for each individual transcript. Transcripts are carefully compiled to match the candidate’s qualifications and education.
Based on the educational information and description of experience supplied by the candidate, the peer advisory can determine if the candidate’s knowledge level is on par, or exceeds that of a college graduate.
When the advisors are not provided with certain information, or if the candidate cannot provide information concerning former grades or other documentation, the advisory will make their judgment based on the available data and their own research.
When the candidate does not provide grades, the advisory may also make their own recommendations as to grades in each course, based on whatever information the candidate has provided.
There was also significant input from the candidate, who was expected to self-evaluate as part of the process:
…we always provide the candidate with a “proof” of the transcript and other documents, before original documents are produced.
When your “proof” is emailed to you for your approval, you may request changes to ensure accuracy. You may also submit your grades and other documentation at the same time of your acceptance.
We welcome and encourage your participation in the selection of representative courses that best fit your skill levels, as well as your overall and specific grades.
Your original transcript will not be completed until you are completely satisfied and have given final approval.
If you feel that certain courses (or degrees) do not fit your skill level, please let us know.
Your peers will review your data and based upon the certain criteria, they may either replace courses with those you recommend, or our advisors will research other representative courses (or degrees) to better match your circumstances.
If you wish for the advisory to modify or replace courses, please and identify the courses and provide additional as to your strengths.
Self-evaluation is again a concept encountered in non-traditional education, usually as part of a philosophy of democratization and a critique of educational hierarchy. To do this outside of a school setting is reasonably widespread. To do it as part of a process leading to the award of a degree would be an open challenge to traditional academia.
2. St Regis becomes a Liberian university
The success of AEIT made it clear that there was significant demand for experience-based credentials from a school that was real and verifiable. The next step would be to create a legitimate online university targeting working adults and offering degrees at all levels via an accelerated experiential assessment at low cost, and Saint Regis University was designed specifically for this purpose. As of 2001, SRU was one of the AEIT peer advisory names that could be used on peer advisory degrees. Later that year, it developed an independent life of its own. While its website did not include much of the information about the peer advisory process that had appeared at AEIT, the concepts and methodology were the same.
Institutions that award college credit based on the assessment of experience gained outside a formal classroom setting (referred to as the accreditation of prior learning (APEL) or prior learning assessment (PLA)) are engaged in the most revolutionary aspect of non-traditional education. College credit for experiential learning democratizes education by changing the role of the university from education provider to education assessor. It is this process, when used by schools outside the mainstream, that is most vociferously attacked by mainstream advocates, because it poses the greatest threat to the mainstream. It offers the prospect of radically cutting the duration, resources and cost of degree programmes in many areas for experienced adults, and when allied to distance learning methodologies, can potentially be expanded to meet an international market. In a key example of disruptive innovation, the non-traditional movement pioneered experiential credit as early as the nineteenth-century. Gradually, the mainstream took on elements of APEL, though still with obvious resistance to the ideology, and in a patchy manner that has left areas such as graduate-level credit poorly served. That particular market niche then became a focus for a number of non-traditional schools working outside the mainstream.
There had been “assessment universities” before SRU. One of the leading examples was the former Summit University of Louisiana under the late Raymond Chasse. Summit was a genuinely alternative distance learning school operating outside the accredited sector. At Summit, experiential learning received full credit and adult learners were placed in charge of their degree programs. Summit in turn was an extension of the University without Walls project that had begun in California in 1974 under the late Melvin Maier Suhd. Eventually, Summit and most similar schools were driven out by legislative changes. Even with the significant respect in which Suhd was held as an educational theorist and humanitarian thinker, Summit had faced constant battles with the education establishment and the lawmakers who were protecting that establishment. What they did was considered not to look like a university, nor to behave like one. It was determinedly alternative and challenging, in an area that promotes conformity – through the standardization process that is accreditation – and fears substantive change.
Ray Chasse also founded a very similar school to Summit called American Coastline University, and ran the two in parallel from his home in Louisiana. While Summit closed, American Coastline survived for a time after Chasse’s death.
When SRU first appeared online in late 2001, it asserted that it was chartered in the Commonwealth of Dominica and also derived authority from being a branch campus of the International University of Fundamental Studies in Russia (as did American Coastline University). It also cited a number of accreditations from private bodies (which did not hold government recognition) which also accredited American Coastline University. Dr Richard J. Hoyer of American Coastline University served in an uncompensated role as Provost of SRU between February and October 2002.
While its Dominican corporation would be maintained behind the scenes, this period, however, was to be brief. Clearly, it was impossible for SRU to become accredited by the conservative accrediting associations in the USA, which were extremely hostile to experiential credit for degrees. The question was then, what would be an acceptable foreign alternative? Accreditation by a national government was held by key authorities in the USA – foreign credential evaluators – to be the equivalent of recognized US accreditation. Well-known distance education author John Bear had devised the concept of GAAP – generally recognized accreditation principles – and said that for non-US schools, this meant, “recognized by (or more commonly a part of) the relevant national education agency”. Moreover, “schools the agency accredits are routinely listed in one or more of the following publications: the International Handbook of Universities (a UNESCO publication), the Commonwealth Universities’ Yearbook, the World Education Series (published by PIER), or the Country Series (published by NOOSR in Australia).”(1)
The search was therefore on for a national government that would be prepared to support SRU and grant it accreditation. Dixie said of this,
“I chose Liberia, for many reasons, one of course because they are English speaking, their constitution was very close to our US constitution, many laws are similar, and I had an idea they may be open minded as to how any person may earn a degree. It may be that many Liberians are uneducated, but there were and still are many highly intelligent people with drive and ambition, whose actual education levels are on par with those in the US and other countries with college degrees. But, these people had little to no chance of ever moving up without any documentation or evaluation of their knowledge.”
Other American non-traditional providers had also sought a home in Africa. At one time the largest non-traditional distance learning university in the USA had been Columbia Pacific University of California, which was closed in that state in what many saw as a politically motivated process. A successor institution, Columbia Commonwealth University, had sought and gained accreditation from the African nation of Malawi in 2001, and continued to offer programmes to American students on the basis of this status. Another non-traditional distance learning university offering programmes to an American as well as international base, Adam Smith University, had been established by an act of the legislature in Liberia in 1995.
On 12 June 2002, the National Board of Education, Inc., was incorporated as a non-resident domestic corporation in Liberia with its registered address as 80, Broad Street, Monrovia. The directors were listed as F. Derradji, C. Dreyer and M. Fuchs, all of the aforementioned address, with Derradji the sole shareholder. This corporation was to be the legal owner of SRU in Liberia.

Around September 2002, all mention of Russia and Dominica was removed from the SRU website and it was asserted that SRU was chartered and accredited by the government of Liberia. Specifically, the following claim was made:
“St. Regis University was originally Chartered January 10, 1984, Created by Decree of the People’s Redemption Council Government of Liberia, as a private school with a physical campus. In 1998, St. Regis University closed the physical campus and moved to a virtual location to better serve students by offering affordable programs without sacrificing quality, and began a four year accreditation process toward formal recognition.
(Prior to 1998 no process existed for the accreditation of online universities.)
On August 28, 2002, St. Regis University completed all accreditation requirements and received formal recognition by the Higher Education Commission of the Education Ministry of Liberia as a legal, valid and authentic university, operating under the authority and in conformity with all current laws and regulations ruling educational competency certification of the Republic of Liberia. The Higher Education Commission of the Education Ministry of Liberia is solely responsible for granting recognition to post-secondary education institutions in Liberia including St. Regis University, University of Liberia and Cuttington University College…
St. Regis places less emphasis on “systems” and more emphasis on “outcomes”.
St. Regis University has submitted documentation of degree programs, descriptions of course/course equivalency completion, curriculum, catalog, assessment manual, policies and all required criteria meeting the very high standards required to gain recognition by the Education Ministry of Liberia.”
(Source: http://www.saintregisuniversity.ac/accreditation.htm as retrieved on 2 December 2003)
What had happened was that the NBOE had purchased a semi-defunct school in Liberia and renamed it St Regis University. According to Dixie,
The Liberian government was eager to work with us, and it was they who recommended that we buy an existing accredited school (accredited in 1984) to become established.
The school was in Monrovia, the same building as the Liberia Department of Education, and had a small staff and phone system, but because of the ongoing war, there were no longer any students or teachers. But our intention was never to teach, but to offer online equivalency programs. So, we agreed to keep the small staff and equipped it with computers/servers, filing system and used the school in the beginning, as a base. They told us we could change the name, which we did, paid all back fees and taxes owing plus accreditation transfer, keeping the original accreditation date.
Aside from all the other costs, the accreditation for SRU had cost a mere US$300. The school had originally been named after James Monroe and was owned by the mother of one of the Liberian officials, possibly Dr Lawrence Bestman. Before long, the Randocks bought a second school, named after Joseph Jenkins Roberts, which had been accredited in 1982. The Liberian Ministry of Education suggested that this should be renamed Robertstown University.
It was news to many that SRU had had any existence in Liberia in the 1980s (albeit under a different name) before it first appeared on the Internet as a Dominican entity in 2001. However, even SRU’s harshest critics acknowledged that this was the case at that time.
“George Gollin, a professor of physics from the University of Illinois at Urbana-Champaign, has researched Saint Regis University and “diploma mills” like it. Despite its claims to Liberia, he says the school is based in the United States, and has a network of more than 100 Web sites. “These were real schools in Liberia, but they folded in the ’80s,” Gollin said.”(2)
In support of the accreditation, a number of documents were made available to enquirers. The first of these was an accreditation certificate issued by the Liberian Ministry of Education to the National Board of Education, Inc., as operator of SRU, and signed by two officials, supplemented by a document giving further particulars.


A further, similarly worded certificate would follow, signed by Dr Lawrence Saydee Bestman, the Executive Director of the National Commission of Higher Education of Liberia:

The motto adopted by the Minister of Education was “Accelerated Education for Accelerated Development”. This would exemplify the synergy between SRU and the Liberian government. As it emerged from the destruction of civil war, Liberia saw there was an urgent need to expand its higher education sector and to embrace new technologies such as distance learning and experiential assessment in order not only to meet its domestic needs but to compete internationally.
Before long, SRU acquired an official .edu.lr suffix, and its main website became saintregis.edu.lr. The .edu.lr domain was restricted to institutions with official standing as a recognized Liberian educational entity.
Gaining recognized accreditation transformed SRU. Its initial home in Dominica had offered legality, but not the acceptance that would come with government accreditation. Liberia offered membership of the cartel of accredited institutions, and a route into the acceptance that came with being part of the academic mainstream. It was a step that few other experience-based universities had previously made.
In addition, there was a market for a whole range of ancillary services. During the 2002-05 period, the Randocks not only operated SRU but a vast range of other websites, not only of other online universities but offering accreditation (through the National Board of Education, SRU’s parent body – this was available for $50,000), turnkey online universities for entrepreneurs, apostilles, an association and journal for online universities, credential evaluation and degree verification services.
Student enquiries started to pour in from around the world. Suddenly, what had been a small-scale family-run enterprise was making millions of dollars. The Randocks were unapologetic about making money. They marketed SRU with great energy and complete confidence. However, there was more to SRU than simply the drive to profit. Its success was because it was meeting market need head-on, and in doing this it was also serving to promote experiential and non-traditional education to those who would not previously have considered them.
Because so many requests for verification of SRU’s accreditation were being directed to the Liberian government, SRU made arrangements with members of the Liberian diplomatic corps and Ministry of Education staff whereby they would be paid a retainer in order to answer questions and verify the accreditation when needed.
On 13 September 2002, some two weeks after the accreditation documents were issued, Liberia’s National Commission on Higher Education published a National Policy on Higher Education:
>>National Policy on Higher Education in the Republic of Liberia (13 September 2002)
The National Policy defined the process for creating new universities thus:
The National legislature has the statutory authority for chartering institutions of higher learning only following recommendation from the National Commission of Higher Education.
The process for accreditation was described as follows:
The National Commission of Higher Education will evaluate the missions, objectives, academic programs, physical resources, finances and qualifications of administrative and instructional staff of an institution of higher learning and subsequently accredit the same. Physical resources will include campuses, classrooms and office furniture, libraries. adequate and relevant books, instructional material, laboratory equipment, conductive working environment, safe drinking water, electricity aid sanitary facilities. Evidence of accreditation will be the issuance of a certificate of accreditation by the National Commission of Higher Education or use of another official instrument by the Commission to be considered a legal document of permission to operate.
Further provisions of the National Policy dealt with financing, curriculum and the other expected aspects of tertiary accreditation. It certainly gave a clear impression that Liberian accreditation involved the operation of meaningful standards and was not merely a rubber stamp. However, SRU had been accredited just before the issuance of the National Policy.
3. SRU’s educational processes
SRU offered several routes to a degree. As of 2003, these were listed as “assessment of knowledge; “testing out” (summative examinations); Independent Study – Thesis Research; Transfer of Credit; Coursework”. A number of alumni dissertations and theses were placed online; these included some accomplished work as well as some that would admittedly have been unlikely to have met the standards of a recognized US university. Some graduates were also known to have completed a coursework route to a degree.
The majority of degrees, however, were awarded by assessment of the applicant’s prior education and experiential learning. Up to 100% of a degree could be earned through the submission of prior learning and experience, including at the masters and doctoral levels. These processes were explained at length on the website with examples of the conversion of experience to college credit.

This was followed by a series of detailed breakdowns for a number of common degree programmes.
Concerning what was required of the applicant, SRU said,
These are general principles for conducting assessment.
Apply online for a FREE Evaluation Include your resume/CV and references.
It is rare, but occasionally applicants qualify using through assessment alone (Pre-Approval). But, more often additional credit is required which can be earned through instructions/guidelines provided by the Assigned Professor. (Conditional Approval).
Applicants will be emailed a notice of either Pre-Approval or Conditional Approval. If the applicant receives Pre-Approval he/she will be give directions for acceptance and payment of graduation fees.
If the applicant receives a Conditional Approval, he/she will also receive details about the ways to proceed to meet the desired degree graduation requirements.
The applicant’s evaluation results, resume/CV will be assessed and validated by the assigned Professors and an evaluation results report will be emailed.
Once the applicant has received the required credits for graduation, he/she may accept the degree by paying the proper graduation fee.
If the applicant’s scores and assessment do not meet the number of credits required, his/her assigned Professors will suggest courses, alternative learning sources and/or supplemental submissions to complete the graduation requirements.
Also,
Send us your resume, CV, thesis, and description of your skills and experiences for a FREE EVALUATION. Your appointed advisor will compare your knowledge to levels of education required in traditional college curriculums.
The application form allowed the applicant to submit a resume, but in addition they were asked in a section allowing for free-form text (which could be added to by email if needed) to,
Please describe your life and work experience, and/or qualifications, and/or other education you have acquired, and/or any other justification you feel is important and should be considered by your advisor in your evaluation for credit.
Two references were also required. One notable omission was that there was no attempt to verify the identity of the applicant through examining official identity documents. This would prove a costly error in the light of subsequent events.
SRU’s failure was not in its willingness to promote experiential college credit or boldly to proclaim it the direct equivalent of a traditional curriculum. That process won it friends and supporters, including me, among those who favoured that methodology and who wanted to see it furthered, as well as enemies among those who wished to see it curtailed. Too often, the attacks made on SRU graduates were the result of envy and resentment from those who were unshakeably wedded to the time-serving vision of university education, and could not accept that someone might have gained experience that was judged to be the equivalent of many hours of classroom instruction. For them, it was “unfair” that SRU graduates had qualified for degrees by APEL assessment rather than doing college “the hard way”. They privileged processes over outcomes, and their outrage was easily manipulated by the media and opponents of SRU.
3. Recognized American academic authorities that accepted SRU
When some enquirers made contact with SRU from mid-2003 onwards, they were given a file of documents that indicated wide acceptance of SRU in the United States academic community. Firstly, there was a series of letters and faxes from accredited United States and Canadian universities. Secondly, there was a series of evaluations from foreign credential evaluators in the United States.

Acceptance of an SRU degree for graduate study by Vanguard University, California

Acceptance of an SRU degree for graduate study by the University of New Orleans, Louisiana.

Acceptance of an SRU degree for graduate study by Tufts University, Massachusetts

Acceptance of an SRU degree for graduate study by Northern State University, South Dakota

Acceptance of an SRU degree for graduate study by Lasell College, Massachusetts

Acceptance of an SRU degree for graduate study by Florida Metropolitan University

Acceptance of an SRU degree for graduate study by Eastern New Mexico University

Acceptance of an SRU degree for graduate study by Emerson College, Massachusetts

Acceptance of an SRU degree for graduate study by Concordia University, Wisconsin

Acceptance of an SRU degree for graduate study by the Canadian School of Management, Ontario

Foreign credential evaluation of SRU degree by SDR Educational Consultants

Foreign credential evaluation of SRU degree by Lincoln International Educational Associates. It is not clear how they determined that SRU was founded in 1947!

Foreign credential evaluation of SRU degree by Foreign Consultants, Inc.

Foreign credential evaluation of SRU degree by AUAP Credential Evaluation Services

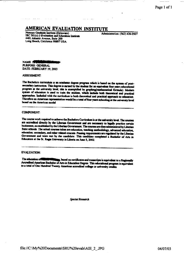
Foreign credential evaluation of SRU degree by the American Evaluation Institute
With respect to the universities, it should be noted that detractors of SRU, notably Dr John Bear, commonly used to ask its defenders to produce just one accredited university that would accept its credits or degrees. It will be clear that there were, in fact, several, and there were others besides those that have been documented above. Directly such information was made public, however, it would lead to the targeting of the institutions concerned by those opposed to SRU in a bid to reverse the situation; it is doubtful that any of the universities above were still accepting SRU degrees beyond 2003. For example, the University of Connecticut’s response to a SRU graduate’s admissions enquiry was made available on the web in April 2003; it is reproduced below:

After Bear contacted the author, however, things changed:
[Bear] Following an inquiry as to whether Ms. Balinskas had in fact written this memo, and whether her office did, in fact, accept the degrees of St. Regis University, Ms. Balinskas replied as follows:
Date: 2003-04-30 17:36:33 PST
“I have gone back through my e-mail archives to try to find the original question regarding St. Regis. All I was able to find was this e-mail that was written after I faxed back the response to the question. As is evident, the Subject of this e-mail was Bachelor’s Equivalence in general, and not St. Regis. I am truly sorry for this misunderstanding.
My information indicates that there are two national academic bodies in Liberia authorized to accredit educational institutions: the Ministry of Education and the Liberian National Commission for Unesco. There are only 2 institutions recognized by these bodies as legitimate: University of Liberia and Cuttington University College. I also have an e-mail from an educational advising assistant at the U.S. Embassy in Monrovia, Liberia that the African Methodist Episcopal Zion Univ. has the approval of the Ministry of Education to operate in Liberia. Unless there are other (more recent than my references) educational institutions that have been LEGITIMATELY ACCREDITED we would only consider applicants from the institutions I have listed above.
Marylou Balinskas, Director, Graduate Admissions
University of Connecticut, 438 Whitney Rd. Ext. Unit 1006
Storrs, CT 06269-1006, E-Mail: mary.b…@uconn.edu
Phone: (860) 486-0988, Fax (860) 486-6739″
(https://groups.google.com/d/msg/alt.education.distance/Gsyq62KOjYE/mnoDHFjdZ_kJ)
It will be obvious that this response was at complete variance with the memo; it was also factually incorrect, in that the Liberian National Commission for UNESCO never had any role in the accreditation of educational institutions. But the strategy for SRU’s opponents was clear and proceeded by several steps:
- challenge SRU to produce any accredited US university that had a policy of accepting its credits, and use the lack of the same to make a case that SRU was not legitimate.
- contact any school that did appear to accept SRU and supply negative information concerning SRU to it, including discrediting its accreditation, possibly even with a threat that any school accepting SRU would be reported to its accreditor.
- produce a public response from the school that stated that, despite any document to the contrary, it never had and never would accept SRU.
This activity further inflamed the conflict between SRU and its opponents.
The positions of foreign credential evaluators changed, too, though this was prompted more by the 2004 disclaimer (that will be discussed below) and negative publicity. The former American Evaluation Institute was the last evaluator known to accept SRU degrees and was still doing so at the point of SRU’s closure.
There were several cases of SRU graduates being accepted to postgraduate degree programmes at accredited universities in the USA and elsewhere, and going on to complete those programmes successfully. They were the fortunate ones. Other postgraduate students were targeted and expelled from their programmes once activists had seized on their SRU degrees and made trouble for them.
4. SRU and the Liberian government
The Second Liberian Civil War had reached a point of relative stability by September 2002 when the government lifted the state of emergency in Monrovia. 2003 started quietly but then degenerated into further fighting in March. At this stage the USA and others exerted pressure to bring about peace talks. These took place in Ghana from June 2003 and after US forces had ended the siege of the capital in July, President Charles Taylor agreed to resign in August. This was not the end of hostilities and conditions in Liberia continued to be hazardous and characterized by violence, shortages, and poverty. Amid this situation, members of the civil and diplomatic services went unpaid for long periods of time.
SRU was in touch directly with President Charles Taylor both by phone and email prior to his resignation.
SRU was represented at the peace talks in August by Richard Novak, its Executive Vice-Chancellor, who travelled from his home in the USA with Abdulah K. Dunbar of the Liberian Embassy in Washington, D.C. As a result of SRU’s representation at the talks, the Liberian Embassy in Ghana agreed also to act as a verification source for the accreditation and status of SRU, with the contact details of the Chargé d’Affaires, Andrew Kronyanh, being listed on the SRU website. In addition, Novak met with Kabineh Ja’neh, who would be appointed Minister of Justice in the new administration, and who was supportive of SRU’s educational mission. A group of SRU’s alumni had expressed a wish to assist Liberia in its reconstruction efforts, and it was put to Ja’neh that the funds alumni had raised could be used to set up a scholarship fund for students at the University of Liberia, which had been largely destroyed during the fighting. Ja’neh informed Novak that the Ministry of Education would be the responsible body for any such arrangement. An agreement for the acceptance of academic credits was also to be negotiated by Ja’neh between SRU and the University of Liberia in 2004, but this was not concluded. A similar credit agreement with the African Methodist Episcopal University had been mooted in 2003.
At the Liberian Embassy in Washington, D.C., there was confusion for a period in 2003 as to who was in charge between Abdulah Dunbar, the First Secretary and Consul, and his rival Aaron Kollie, who as Chargé d’Affaires was head of the mission. Dunbar had come to the embassy in the 1990s under the Tolbert administration and was opposed to the Taylor regime, while Kollie had been appointed under the Taylor regime in 1998. Dunbar had been a key figure in obtaining accreditation for SRU and was paid a retainer by SRU to answer the many requests for verification of SRU directed to the embassy as well as additional fees for extra work when required. Kollie, meanwhile, would later be cited as having provided assistance to the US authorities in the SRU prosecutions(3).
Dunbar was responsible for sending official letters to several US-based critics of SRU, defending the university and its accreditation.
>>Dunbar to Oregon Office of Degree Authorization, 10 March 2003
>>Dunbar to Ten Speed Press, 10 March 2003
In June 2003, Dunbar was recalled to Monrovia, but refused to go. He maintained that the recall was void because it was part of a plot by Kollie and others to sack him. When he attended the Liberian peace talks with Novak in Ghana in August 2003, Novak lobbied for Dunbar’s reinstatement. Meanwhile, the US State Department confirmed Dunbar’s recall and withdrew his diplomatic status, with the result that Dunbar returned to Monrovia in October 2003.
During Aaron Kollie’s time in charge of the Embassy, he had refused to confirm the accreditation of SRU to enquirers and issued the following statement in September 2003,
The Embassy of Liberia in Washington, DC wishes to dissociate itself and to announce that it has no official dealings with the online St. Regis University. The Embassy of Liberia is not a source to verify or authenticate the accreditation status of St. Regis University, and would as such assume no responsibility for any reference to the Embassy. Anyone seeking clarification on the status of St. Regis University should channel same directly to St. Regis.
Sgd: Aaron B. Kollie, Charge d’Affaires
After this, Kollie was contacted by SRU, and it became clear that he would be prepared to confirm SRU’s accreditation, so long as SRU arranged to pay him a similar retainer to that which they had paid Dunbar. Kollie was paid a sum of money, but events overtook the arrangement.
Dunbar arrived back in the Washington embassy shortly after his departure, this time bearing two letters from the new administration, one confirming his appointment as Chargé d’Affaires, and the other recalling Kollie. This time, Kollie refused to depart, and the two men ran rival administrations from the same embassy until the matter was finally resolved in Dunbar’s favour in December 2003(4). Dunbar would serve as head of the mission until the appointment of S. Prince Porte as Chargé d’Affaires in February 2004. Porte served until the appointment of Charles A. Minor as Ambassador in June 2004. According to Dunbar, Charles Minor was opposed to him, just as Kollie had been, because of Dunbar’s known antipathy to the Taylor regime.
Because of the confusion Kollie’s statement had brought about, Dr Bestman of the National Commission of Higher Education wrote the following letter to Oregon’s Office of Degree Authorization on 20 October 2003:


On 11 September 2003, the National Commission of Higher Education under Dr Bestman issued a document recognizing and authenticating SRU as a further measure to combat Kollie’s disinformation.

This document was authenticated by the Liberian Ministry of Justice on 2 February 2004:

and by the Ministry of Foreign Affairs the following day:

On 16 October 2003, SRU was awarded accreditation for a further five year period by the National Commission of Higher Education. This took it beyond the two year accreditation period awarded by the Commission on 28 August 2002, which would have expired on 27 August 2004.

The accreditation document and the charter that accompanied it would bring SRU into compliance with the published National Policy requirements. The Charter was very obviously not created in 1984, since it makes reference to delivering programmes via the Internet. However, this document was backdated to the original date of the creation of the Liberian school that subsequently became SRU with the full knowledge and blessing of the National Commission on Higher Education and its Executive Director, Dr Lawrence Bestman. Governments can and do enact retrospective provisions, and may also provide for the legality and validity of backdated documents.
>>SRU Charter
In mid-2003, I spoke to Dr Lawrence Bestman, Executive Director of the National Commission on Higher Education, on the telephone. My purpose in speaking with him was to establish the authenticity of SRU’s accreditation documents and also to gain some impression of the position of the Ministry of Education on distance learning and related matters. Our conversation lasted the best part of an hour, during which he confirmed that SRU was a totally legitimate Liberian university, and stated that he had dealt with them for about five years. Indeed, he had himself graduated from SRU during the 1990s. He confirmed that the National Commission of Higher Education under him was the only entity licensed to accredit universities in Liberia, and informed me that the accreditation process was “rigorous”. He was insistent that I should refer all enquiries to him directly, and that he was the authorized authority of the Ministry of Education to deal with all accreditation matters. He stated emphatically that the charter and the accreditation certificates that bore his signature were authentic.
Ambassador Prince Porte also issued a document on 18 March 2004 disclaiming Kollie’s actions and reaffirming the accreditation of SRU by Dr Bestman on 16 October 2003, including a list of recognized Liberian universities that had been prepared Dr Roland at the Ministry of Education:


I spoke by telephone to Abdulah Dunbar in January 2004, and to the Chargé d’Affaires at the Liberian Embassy in Ghana, Andrew Kronyanh. They both confirmed the accreditation to me and spoke highly of SRU. I spoke on two occasions to the Liberian Embassy in London, UK. On the first occasion, they told me that they had never heard of SRU. I reported this when speaking with Dunbar, who assured me he would deal with the matter. On the second occasion I called the London embassy in May 2004, they confirmed that SRU was on the list of recognized universities in Liberia.
On 27 May 2004, Prince Porte wrote to the newly appointed Liberian Ambassador in Washington, D.C., Charles Minor, confirming the authenticity of SRU and its accreditation as issued by Dr Bestman on 16 October 2003:

5. Trouble for SRU
One aspect of SRU that caused controversy was the anonymity of its advisors, who were referred to either by their first names or by aliases. Dixie explained this by saying,
“Most of the advisors were female, and wanted online anonymity. I came to know Kristiaan De Ley, owner of Concordia College & University, and he recommended the use of online names, and did this also at his university. He found the males were treated differently, and many females were often dismissed as “secretaries” or even harassed. He told me that females faced some discrimination and were not always treated with the same respect as the males. I also noticed many online schools, businesses and universities used only first names or screen names, so it made sense at the time.”
Dixie herself used a number of male aliases, including “Dr Thomas Carper” and “Patrick O’Brien”. At that time, entrepreneurs in postsecondary education were rare and female entrepreneurs vanishingly so.
As SRU got bigger, so it ran into difficulties. According to Dixie,
In the beginning, all advisors were well trained, some with teaching degrees, and others with experience in related fields.
But, as SRU grew and became very successful, many people came to us wanting to be “affiliates.” This was a time that online affiliate programs were quite new, but we had people from countries all over the world who wanted to be a part of this great new enterprise. I spent hours, weeks, months, training these new affiliates, and at first I saw no problems. But, as I am sure you are aware, some had other ideas….bad ones. One advisor, who was actually working on our Spokane office, using my equipment, staff, everything, simply copied my website. Word for word, and connected it all to his email addresses and credit card accounts and began issuing degrees – based on nothing at all.
We discovered this, by accident, got rid of him and shut down his fake sites, but damage was done. Then, some similar things happened with affiliates overseas, and I soon found I was losing control of what these people were doing.
At times I did have to speak to advisors for giving credit for fake submissions, or getting greedy and accepting just money without careful evaluation for equivalency. I believe overall, our staff did an excellent job, but it may be that some sloppy work got through from affiliates and people who just copied and stole our identity.”
Realistically, SRU had now developed into a major international enterprise that could only have been kept under control through building an equally significant administrative network through which authority could be delegated and each aspect of its operations managed closely and effectively. This would also need better systems designed to prevent the assessment processes from being abused. The problems were compounded by the fact that any failure was, of course, eagerly seized upon by the academic establishment and the newspapers.
SRU worded its application and disclaimers very carefully to avoid misleading clients. Dixie recalls,
SRU degrees were granted to politicians, judges, several prison wardens, CEOs, clergy, and people from all walks of life. We knew of no problems at all from any degree holder. When degrees were confirmed the inquirer was simply told the person had a degree and never were they told that anyone attended classes or took courses, or that SRU or other universities were “schools.” Every degree holder knew exactly how they earned their degree and was involved in the process.
In 2003, SRU created an alumni forum, and strong bonds began to develop among the eclectic mix of characters that emerged there, who included some who were now professors at SRU. It was not long before there was a concerted effort by this group to try to address external concerns regarding SRU and to help it achieve its potential. There was also much internal criticism and suggestions for improvement, some of which were acted upon.
There was also a movement to try to supply aid to Liberia to help with regeneration after the civil war, and some US$28,000 was raised for this purpose. Robert Stefaniak, one of SRU’s graduates and professors, who co-ordinated the effort, said this of it,
“Every dollar donated is matched with SRU matching funds. One dollar is then worth two and that becomes $120.00 Liberian.
Where else can you donate say $10.00 to a needed charity and have that ten bucks turn into $20 US and turn into a Liberian total of $1,200.00 worth of aid to people recovering from years of civil war, food shortages, water pollution, and outbreaks of cholera and dysentery? Getting kids back to school with education assistance is a major thrust of our goal as we work with the African Methodist Episcopal University in Monrovia, Liberia through their director Dr. Louise York.
Children in Liberia need to get healthy before they can return to the business of education and focus on rebuilding their lives, now that peacekeepers are in place and a new transitional government restores constitutional law and order under the watchful eye of the UN and the worldwide community.
You may want to give directly through the UN or other NGO non government organizations often faith based. But, your gift through our alumni association drive is automatically doubled with SRU matching all donations.”
SRU’s enemies were quick to try to portray SRU as exploiting Liberia in conditions of war and poverty. However, the reality was not only that Liberia had given SRU strong support from the outset but also that there was a sincere wish among many involved to see Liberia recover and strengthen from the recent conflict. When SRU was represented at Liberia’s peace talks, it was as a valued NGO with contacts at every level of government, seen as a key player in Liberia’s development and in the bid to credential its citizens.
Professorship at SRU was, for most holders, not a remunerated position. The advisors handled the assessment of candidates, and one role of the professors was intended to be to deal with any candidates who did not qualify based on initial assessment, and then needed to complete some form of top-up coursework or dissertation to qualify. Some professors did advise candidates in this way.
For most SRU professors, however, professorship was an honorary title, which could also be obtained by purchase for qualified candidates. Only a minority of professors were listed on the websites, some of whom were highly accomplished individuals. The alumni forum had called for more Liberian professors to be added to the faculty, and as a result a number from the African Methodist Episcopal University were appointed in 2003-04. These were remunerated by SRU, but were unable to do much for it since the poor state of telecommunications networks in Liberia meant that the Internet was often inaccessible for long periods.
The professors were encouraged subsequently to develop distance learning courses. In October 2004, SRU relaunched with a series of schools – business, marketing, behavioural sciences etc. which were independently-run on a franchise model. This model would transfer to James Monroe University on SRU’s closure. It addressed long-held criticism that SRU did not teach or offer courses.
Some of those involved in course development had also been involved with the University College for Advanced Studies, which had launched in January 2004 from a base in Greece, owned by one of the SRU professors. This prepared students for degrees awarded by SRU and several other universities. In 2005, the majority of this work was transferred to a short-lived new affiliated school incorporated in Panama called Athenaeum University International. This had prepared students for JMU degrees. It closed in 2006.
At an early stage, SRU had come up against opposition from individuals and powerful institutions with a specific agenda. On the surface, that agenda was consumer protection and the combatting of fraud and criminal activity in education. Beneath the surface, what was really going on was specific advocacy against those schools and individuals who threatened the vested interests of the American educational establishment, with SRU perceived as constituting the greatest danger. Too often, the tactics of “diploma mill hunters” have blurred the distinction between diploma mills and legitimate alternative schools, and between those who use degrees with the intent to commit fraud and those who are in fact unwitting victims of that fraud.
Most obviously, the matter is deeply personal for those concerned. The inherent subjectivity of education leads to the situation where one man’s diploma mill is another’s alternative university. Such clashes do not stay dormant for long. They find expression in vendettas, rivalries, trolling and abuse that are all too familiar to readers of internet discussion forums. And at times, this behavior goes offline, sometimes with serious consequences. SRU was never given a fair hearing, with its defenders ridiculed, banned and attacked on and offline from the outset, and this sparked a predictable reaction. In retrospect, by far the best strategy would have been simply to have ignored much of what was being said, and yet those involved on SRU’s side felt, understandably, that there was a strong chance (given the evidence) that they could prevail. In the course of this process, the most vociferous of the anti-SRU internet forums, degreeinfo.com, would unexpectedly be exposed as having close links with epebophile pornography, a preference that has always been suspected to be close to the hidden circles of the deep establishment.
The discussion forums included members of the academic establishment and others whose networks included the gatekeepers of that establishment – college registrars, admissions officers, some foreign credential evaluators, and others involved in activism. A further category was those officials involved in administering laws in certain US states against the use of degrees from domestic and foreign universities that were not considered to have the equivalent of recognized US accreditation. The judgements involved were based on opinion, but were too often presented with the certainty of the zealot.
In July 2003, the American Association of Collegiate Registrars and Admissions Officers (AACRAO) issued a statement concerning SRU:
“Saint Regis University” is a virtual university claiming recognition by the Ministry of Education of Liberia. Recently, the Ministry of Education in Liberia has recognized a number of virtual universities, few of which have any actual physical entity in Liberia. Most of these virtual universities use the same address in Monrovia. Recognition of an institution by the appropriate educational authority of a country is usually strong evidence of the credibility of its issued academic awards as comparable to similar awards in the United States. However, as the standards of recognition of institutions in some countries may vary due to local conditions such as civil war and economic hardship, simple recognition by a foreign government alone cannot be considered an automatic guarantee of comparability to a United States academic award and each country’s system must be judged on its own merits in this regard. Therefore, while we acknowledge previous recognition by the Ministry of Education of Liberia of the following universities – the University of Liberia, Cuttington University College, and the African Methodist Episcopal University – we do not accept the recognition of Saint Regis University by the Ministry of Education on Liberia as comparable with the recognition afforded the three above referenced universities and AACRAO considers Saint Regis University to be comparable to an entity in the United States that does not have regional academic accreditation.
AACRAO importantly did not deny that SRU was accredited by the Liberian government; rather, it questioned the meaning of that accreditation and its comparability to US standards. Others concerned with foreign credential evaluation, as has been shown above, did not find those aspects to be problematic.
In mid-2003, Dixie created websites at the domains liberiaembassy.com and liberianembassy.com. She has said of this,
One question that came up almost every day – “Is SRU accredited”? We had a certificate and accreditation was genuine but there was no way to verify it. So, I asked someone in the Department of Education, I think it was Isaac Roland, if they’d post accreditations at their website. I was told they had no website. I asked if they might have one soon, and there was no plan for this. We discussed that there was no way for the public to see the accreditation of any Liberian schools so they needed a website for this and many other uses. I had Rick [Novak] meet with Bestman, Prince Porte and Roland, in Monrovia, to offer to build one for them, as we had a good relationship and they did a lot for us.
So, one of our techs built it but it was put into control of one of their government officials. They not only knew, they wanted us to do this, and seemed to be happy with it.
The websites gave general information about Liberia and a list of recognized universities, including SRU, with a verification email. The contact for the websites at the Liberian Embassy in Washington, DC, was the Consul General, Mrs Stataria Cooper, who answered all telephone enquiries arising from them.
An email address associated with these websites was used by Dixie to send email to the University of Illinois at Urbana-Champaign, complaining that Dr George Gollin was using his faculty webpage to publish material attacking SRU. Gollin reported that in August 2003 he had taken the online test for SRU’s high school division twice, scoring 26 and 21 per cent respectively, and being offered an associate’s degree both times. UIUC initially sided with SRU and ordered Gollin to remove the material from his website(5), an act which he has referred to as trying to “drop the University of Illinois on me like an anvil.”(6) Subsequently, after protest, UIUC reversed its decision. But by then, SRU had made a mortal enemy in Gollin, and one who would develop a host of contacts with accreditation agencies, education regulators, the academic establishment, government and assorted diploma mill vigilantes. Gollin had no doubt that he was morally in the right. He said of SRU, “These sons of bitches who smell money are just using the situation [in Liberia] there for their own ends,” says Gollin. “They’re monsters. They’re just disgusting monsters.”(7) Gollin was quoted in a later interview as saying, “My anger about all this just stuck.” So did his thirst for revenge. “I was going to fuck them.”(8)
In October 2003, George Gollin tried unsuccessfully to get the FTC to sue SRU. That winter, he wrote a document entitled “Information about the “National Board of Education”, Saint Regis University and American Coastline University”. This was added to by John Bear, the author of a well-known distance learning guide, who had both operated diploma mills and subsequently acted as a consultant to the FBI in diploma mill prosecutions. Alan Contreras, administrator of Oregon’s Office of Degree Authorization, also became involved in the anti-SRU campaign. Gollin’s document reached Washington’s Attorney-General, but there was no willingness to file suit. In time, all three antagonists would correspond privately with Dixie. She recalls,
I did try to talk to Bear, because I wanted his help to make any corrections he thought were needed to stop all the issues with Gollin. But, he was more interested in being Gollin’s friend…it almost seemed he was envious of SRU.
Unfortunately, the document was inaccurate in some respects. It named Dr Richard J. Hoyer, who had been SRU’s provost on a volunteer basis between February and October 2002, as a major force behind SRU. In fact, Hoyer had discontinued his involvement and stepped down soon after SRU became accredited in Liberia, and was never an owner or manager of SRU. John Bear had other ideas, however. Writing at degreeinfo.com in August 2003, he said, “For the record, Richard Hoyer, who at one time controlled American Coastline University is also a (or the) founder of St. Regis University.”(9) This produced a furious remonstration from Hoyer, which Bear proceeded to ridicule and then ignore. In October 2003, Bear would wrongly attribute the Liberian Embassy website to Hoyer too, stating “Richard Hoyer sets up a a Liberian embassy site, which supports the accreditation of St. Regis University.”(10) In fact, the Liberian Embassy website had absolutely nothing to do with Hoyer. Did the accusers check? Did they care? Not if it suited their agenda. Hoyer would eventually publish his own reply on the forums, entitled “Stalking in the Guise of Academic Freedom”.
SRU graduates began to be targeted, too. Eleven teachers in Georgia with SRU degrees had been awarded pay raises on the basis of their new degrees. What had once been acceptable to the board ceased to be so once activists and journalists started their campaign, and all were banned from working in Georgia public schools.
It was easy for those opposed to SRU to convince the majority that SRU was not legitimate. Most people know little or nothing of higher education methodology beyond the practices of traditional brick-and-mortar schools. The idea of a progressive non-traditional distance-learning establishment that challenges these practices in a controversial way is not what people expect from education, largely because their expectation is rooted in state control and time-serving. The public view of educational standards is largely a detached one, and the idea that those standards might be highly subjective is disconcerting to them. They are readily persuadable that experiential credit is at best “easy” and at worst fraudulent, and that “real” education consists of sitting in a classroom receiving instruction, doing assignments and taking exams. They are unfamiliar with theorists such as Elizabeth Monroe Drews, who wrote “It is immoral for us to squander [the learner’s] time by asking him to learn what he already knows”(11). They are also used to taking national accreditation as a definitive indicator of acceptability. In some countries, practices just as controversial as those of SRU are undertaken at nationally accredited schools, but because those schools do not target the US market, they pass without notice.
Moreover, higher education is highly unionized and operates as a cartel. It could not be less market-friendly if it tried, and that is before we get to the overwhelmingly left-wing bias of academics. Indeed, the unfettered free market is the enemy of mainstream education as currently constituted. SRU met that market directly at its point of need, rather than funneling the market through the narrow and artificial aperture that mainstream academia imposed. The cognitive dissonance this created could only be met with condemnation from those who had something to lose from SRU’s innovation.
SRU had hoped to be included in the authoritative International Association of Universities/UNESCO World Handbook of Universities. Listing of institutions is based on their forwarding by the government ministry responsible, and the following letter was issued on 18 October 2003,

Despite this, the intervention of opponents soon meant that SRU’s inclusion in the Handbook was not to be.
During May 2004, Senator Susan Collins held US Senate hearings on the subject of diploma mills. SRU’s enemies in the US accreditation cartel ensured that it was mentioned unfavourably and given no opportunity for right of reply or a balanced presentation. Bear’s former colleague Allen Ezell, a retired FBI agent, spoke on SRU, and inter alia repeated the false statement that Richard Hoyer operated SRU.
This was the point when, according to Dr Roland, problems with SRU began. In fact, as has been shown, it was well before then that the US education establishment had determined to put SRU out of business in any way possible. Its public denunciation now gave legitimacy and impetus to that mission.
In October 2004, Dr Roland would subsequently write in an email, “At the moment, the U.S. Embassy has and continues to raise serious concerns regarding St Regis. The Embassy has expressed, with grave concern, that the U.S. Government may likely withhold certain financial and technical support for the Ministry of Education.” (Isaac Roland, email to Robert Stefaniak, 6 October 2004) There was a clear trade-off here; if the Liberians continued to support SRU, it would come at the cost of losing much more valuable American foreign aid.
Accordingly, Dr Roland and Chairperson Dr Evelyn S. Kandakai issued a disclaimer of the accreditation of SRU, declaring its documentation null and void.


Dr Roland now further asserted that Dr Lawrence Bestman, who had issued the five-year accreditation certificate to SRU, had been dismissed from his position on 14 October 2003. This was not credible; Dr Bestman was in touch with SRU in his official capacity well after that date, and moreover he was referenced by Justice Kabineh Ja’neh and by Abdulah Dunbar in their communications. The documents he had issued after 14 October 2003 had been authenticated in Liberia and given credence by Liberian government sources, an unlikely position if he had not had the authority to issue them.
The disclaimer was dated 22 July 2004, but it was not published to the web or publicized until October 2004. It was posted at degreeinfo.com on 5 October. Given its supposedly “urgent” status, the delay of several months was curious. It might be speculated that the document was most likely backdated, and that its creation was prompted by pressure from the US government in the wake of the Senate hearings.
All was not lost for SRU. Dr Roland subsequently showed that he was trying to square the circle of standing by the 22 July statement while reconciling it with a more honest account of what had really happened regarding the accreditation. Consider this email from Dr Roland from 3 January 2005, for example:
Because St Regis University, James Monroe University and Robertstown University first applied for accreditation prior to [14 October 2003] it is certain that the school’s officials had no knowledge that their accreditation certificates signed after Bestman was dismissed were not effective. This does not mean that the schools did not meet the criteria to be accredited, and in fact it appears that they each do operate in compliance with all Liberian laws and regulations.
SRU enlisted Prince Porte to intercede on its behalf as well as Novak and Robert Stefaniak, and there was an exchange of emails with Dr Roland leading eventually to his issuing a disclaimer of the disclaimer on 20 December 2004, the text of which had been worked-out with SRU beforehand:



This now meant that SRU was “recognized” but not “accredited” by Liberia – a distinction that had not previously existed. However, it was a distinction largely without significance. No schools in Liberia were now “accredited” since none had yet completed the new process. “Recognized” schools were still fully authorized by the Liberian government to award degrees. The verification of the recognition was still available from Liberian embassies.
Dr Roland’s position was established through interview, recorded in a defence memorandum in the SRU case,
“Dr. Roland stated that because the St. Regis people had been mislead by the previous MoE administration during the Charles Taylor regime, they were not aware that two signatures were required on the accreditation documents and based on the documents they had obtained from the Liberian government should have reasonably believed they were accredited by the Liberian government.
Dr. Roland went on to state that after the disclaimer signed by he and Evelyn Kandakai as posted on the Embassy web site the St. Regis people tried to resolve the situation by interacting with him and Ambassador Prince Porte. Dr. Roland did state that he visited the offices of St. Regis University in Monrovia along with Porte to establish the schools presence in Liberia. After reviewing documents and establishing the presence he subsequently prepared the letter dated December 20, 2004. Roland stated that there was no specific documented process established by the MOE for online schools during the time St. Regis was going through this process, and to this day there is no defined policy or process for the accreditation of online universities.
Dr. Roland stated that his position is that there is a difference between Accreditation and Recognition and although St. Regis was “Recognized” they were not fully accredited, so the list of “Recognized Higher Education Institutions of Liberia” which was- posted on the Embassy web site, which he prepared and signed, was accurate.”
>>Affidavit of Brian R. Breen, filed 7 December 2007
The view taken by Dr Roland in his private correspondence with SRU was that SRU urgently needed to address the concerns about its operations that had been raised in the USA. But once this was done, he foresaw bright prospects. In an email to Stefaniak of 6 October 2004, Dr Roland said, “I have seen the St. Regis catalogue, and the programs and professors are excellent and fantastic; hence, I do not doubt the credibility of the institution.” Dr Roland knew of what he was speaking; he too was a graduate of SRU.
There were also efforts made by Ambassador Prince Porte on his return to Liberia. According to the defence report of interview with Porte, after the disclaimer had been published, “Richard Novak seeking assistance contacted Porte, and Porte agreed to assist Novak through the process of accreditation, including setting up an office for St. Regis University in Monrovia [which was one of the conditions of the accreditation process]. Ambassador Porte did make arrangements for various items of office furniture and computers for the office, which were paid for by Novak via wire transfer. He also made arrangements for staff and once the office was set up went with Dr. Roland to inspect the office. Ambassador Porte stated that once Dr. Roland saw the office he stated that it was better then all of the other ones he had inspected.”
Porte confirmed the views expressed by Dr Roland earlier in response to interview, “Ambassador Porte specifically stated to me that based on the documents provided to St. Regis University prior to the disclaimer from the Ministry of Education, the people associated with St. Regis would have reasonably believed that the University was in fact accredited and recognized by the Liberian Government, and that even after the disclaimer based on Dr. Roland’s list of “Recognized Higher Education Institutions of Liberia”, that they were at the least “Recognized”.’
Abdulah Dunbar was also interviewed concerning the accreditation status of SRU. He said, “Dunbar stated that the [accreditation] documents were legitimate and that it was “impossible for the St. Regis people not to think they were accredited by the Liberian Government”.
In 2004, I telephoned Jallah Faciann in Liberia, who was then listed as the Director of SRU. I was not aware of it at the time, but Faciann was Dunbar’s brother-in-law. Prior to becoming SRU Director, he had been the manager of an internet café. After SRU ceased operations, he went to work for the United Nations High Commission for Refugees. Faciann was again strongly defensive of SRU’s operations and standards. He informed me that he was speaking from SRU’s office in Monrovia and that this office was functioning as best it could in the difficulties of the post-war environment.
During mid-2004, following the Senate hearings, Dr Gollin’s efforts to haul SRU into court began to bear fruit. Himself a Democratic Party activist, a decade later he would be a future candidate in a Democratic senate primary(12). He lobbied Christine Gregoire, Washington’s attorney-general, who was now the Democrat candidate for governor of Washington, to take on the SRU case. As a result, in July 2004, the Spokane Office of Consumer Protection opened an investigation based on the earlier Gollin/Bear report. In September 2004, Gollin was brought in as an unpaid expert consultant. Significantly, his expertise with respect to this case was not in distance education, experiential credit or non-traditional degree programmes, but in the protection of the academic establishment from those entities considered to be “diploma mills” that threatened it. The case was pitched to the FBI, who were not interested, and then to the US Secret Service, who were, based on the alleged implications for foreign terrorists using SRU degrees to obtain US visas. In January 2005, a major multi-agency investigation was initiated, called Operation Gold Seal.
Meanwhile, Regis University, a non-profit regionally accredited Jesuit university in Colorado, had been persuaded to file a trademark infringement lawsuit against several staff members of SRU and Dr Richard Hoyer in the state of Washington on 6 December 2004. Interestingly, Regis had first made a similar complaint to SRU as early as 2002, which had been resolved when SRU agreed to include a disclaimer on its websites stating that it had no affiliation with Regis University. However, SRU had since omitted the disclaimer. The timing of the lawsuit was not coincidental. Gollin would write that the disclaimer of SRU issued on 22 July (that became public in October) had permitted the filing of the lawsuit, and it was quoted in an exhibit to the complaint filed, along with a slew of negative press coverage of SRU. Subsequent coverage on the Regis University website suggested that Gollin had directly prompted them to file suit.
The Regis suit prompted an escalation of the flamewar between SRU and Gollin, and supporters of SRU focused on online material concerning Gollin and his family. Gollin responded on his webpage with a graphic consisting of a rifle-sight superimposed next to the names of the defendants. This was taken by the defendants to be a death threat. A similar crosshairs image had been used as a signature by the so-called Zodiac Killer.

Dixie called both the police and the University of Illinois concerning this threat, but neither took any action. Legal counsel, consisting of attorney Cyril Jones of the firm Jones & Jones in Monrovia, was retained by SRU with a view to gathering evidence and potentially filing suit against Gollin and/or the University of Illinois for harassment and interference with business relationships.
The Regis case did not proceed to trial and was settled out of court in June 2005, with the defendants admitting none of the allegations against them but agreeing not to use the name “St Regis” or any similar name in the future. According to one of the defendants, the Regis University attorneys called Gollin a “loose cannon”. Since the judge made no award of costs, Regis University had lost around $200K in lawyers’ fees for very little return.
On 12 December 2004, SRU had announced its closure on its website,
“Sadly, it has come to our attention that after an agreement made several years ago with the Jesuit Monks of Regis University of Colorado, and after many years of voluntarily posting at our website that St. Regis University is not connected in any way to any similarly named universities or colleges, that the Jesuit Monks of Regis University of Colorado are now making a complaint that St. Regis is infringing upon their name “Regis” University.
While is true that this longstanding notice was inadvertently left out by a webmaster or designer after a recent remodel of our website, it is also true that at no time did any Regis University official, student, applicant, etc or any other individual from any other similarity named entity ever once complain to St. Regis University of the missing notice nor has there been even one complaint or report of any confusion in names made by Regis University of Colorado or by any individual. Had anyone contacted us with a complaint that the notice had been removed in the new design it would have been replaced on the index page without hesitation, as it had been placed as originally agreed upon several years ago and had remained for years afterward.
It is also true that St. Regis University has never used any similar logo or trademark ever held by the Jesuit monks of Regis University or used their name or trademarks in any practices.
At no time has St. Regis University held itself out to be any US entity, and in fact is a Liberian university.
Contrary to their complaint, St. Regis University has never had any presence in Washington State, nor Colorado. St. Regis University, a non-US entity is located and incorporated in the Republic of Liberia. Our website has clearly states that in the case of ANY dispute the laws of Liberia shall prevail, as St. Regis University is a legally registered corporation in the Republic of Liberia.
St. Regis University is also in the final stages of re-accreditation by the Ministry of Education of the Republic of Liberia and has always legally operated.
If any entity using the name St. Regis University does indeed exist within the United States please notify us as St. Regis University and/or individuals named in the Regis complaint will take legal action against any such entity for infringement and damages against us. Any such entity (if one exists) has NO connection to St. Regis University of Liberia nor does St. Regis University and/or individuals named in the Colorado Regis complaint defend nor claim any responsibility or ownership in any university similarly named (if any exist).
We are aware of only one instance where there was any confusion at all and this was when our school, St. Regis University of Liberia gave a donation of $1000 to a humanitarian cause and the acknowledgement of thanks was mistakenly given to Regis University of Colorado.
No student or applicant has ever reported to us or claimed to be confused of any similarities in the school’s names, even though there are many such similarly named schools throughout the world.
St. Regis University is unique in that it is a Liberian online school, completely unlike Regis of Colorado which is a religious school of bricks and mortar located in the U.S..
We believe this complaint (and others) are being instigated by a group of individuals including a University of Illinois professor, an Oregon government official known for his admittedly non-researched and controversial list of online schools he labels as “mills” and “substandard”, and a two writers capitalizing on the sale of books about online degrees. This group is well-known to us for their apparent hatred toward many nontraditional online universities, particularity those located in the African country of Liberia.
Contrary to the claims made by these cohorts and news story reporters (including one who admits publicly that he need not be truthful in his stories) St. Regis University has always been a legally operating entity and has never “sold” degrees or broken any laws. St. Regis University operates in full compliance with all laws and regulations of the Ministry of Education of The Republic of Liberia and is not a U.S. entity nor operating in the U.S.
Out of respect for the feelings and wishes of the Jesuit Monks at Regis University of Colorado, St. Regis University Liberia is voluntarily discontinuing the use of our legally registered name and moving voluntarily all programs, curriculum and services to another University until this matter is completely resolved.
We pray that the Jesuit Monks at Regis University of Colorado will remember our acts of sincerity, cooperation and respect of their wishes since our first contact with them years ago, and that again our immediate cooperation and willingness to end any conflict will help to bring this matter to closure.”
Having first obtained the permission of the Liberian Ministry of Education, SRU’s programmes and infrastructure were transferred to another Randock-operated institution, James Monroe University. Robertstown University was also now being operated by the Randocks. James Monroe and Robertstown had both been awarded accreditation by Dr Bestman on 16 October 2003. In due course Robertstown received a charter dated 1982 that was very similar to that of SRU. However, Robertstown had been disclaimed by Dr Roland, citing Dr Bestman’s alleged dismissal, in October 2004, and Dr Roland’s letter of 20 December 2004 only addressed SRU, not Robertstown.
At the beginning of 2005, former Ambassador Prince Porte, who had no further assignment with the Liberian diplomatic service, was offered and accepted the position of Director of James Monroe University. He worked daily from the University’s office in Monrovia.
On 18 January 2005, SRU’s leading antagonist Dr George Gollin wrote on the letterhead of his university to Ambassador Charles Minor, copying the letter to Dr Roland, Dr Kandakai, and others. In part the letter states: “A brief statement from Liberia, confirming the lack of Liberian recognition of any of the entities in the Saint Regis group and posted to the Embassy web site, will help the American authorities take action”. The letter also states: “The announcement “Urgent Disclaimer On The Illegal Establishment And Recognition Of Higher Education Institutions In The Republic Of Liberia” posted to the Embassy web site last October had some effect.”
>>Gollin to Ambassador Charles Minor, 18 January 2005
The Liberian Ministry of Education initiated a meeting with the US State Department in Monrovia that took place on 26 January 2005. The purpose of the meeting was to establish what the US position was now regarding SRU and the other NBOE schools, and the potential withdrawal of US funding. Dr Roland represented the Liberian Ministry of Education, while Porte and Novak represented the NBOE. According to interview, Porte said that “apparently the US Government was going to withhold money to Liberia and St. Regis was trying to get through the accreditation process, so that is why the meeting was organized. Porte stated that during the meeting the US representatives never specifically answered the question as to whether money would be withheld from Liberia if the St. Regis issue were not resolved.”
Defence investigator Brian R. Breen notes, “Another interesting aspect of this case is that on the same date (1/26/05) that the meeting is held in Monrovia with State Department Staff, [US Secret Service Resident Agent in Charge] Kevin Miller contacts [State Department Officer] Andrew Silski und Silski advises Miller “that in his opinion Ambassador Minor would be receptive to meeting in the future to discuss and disassociate his government from “Saint Regis University.”” Gollin’s letter to Ambassador Minor on 18 January had been copied to Silski. This was the same month that the Secret Service had initiated Operation Gold Seal.
The universities were clearly in trouble. In mid-2005, James Monroe University was replaced for a few months by “James Monroe International University”, claiming authority from both Liberia and the Principality of Seborga, but in early October 2005, it announced its closure. Both James Monroe and Robertstown issued the following statement:
The University has discontinued its online programs and will not reopen until conflicting information surrounding the authority under which all Liberia universities were re-accredited since 2004 has been completely clarified.
The major problems seem to be the inability of the Commission to develop a policy on distance learning, and the constant and unpredictable changes in officials, making verification of authority difficult, if not impossible.
Without the policy in place, and without the establishment of an official and reliable Liberian Government website for access to critical information regarding Liberian education and accreditation, the University does not wish to continue to be subjected to the issues of this confusion.
Even though the causes of this situation are no fault of this or any other Liberian university, James Monroe University will remain closed until proper and full support from the Commission is assured.
The real closure, however, had predated this by some months. On 11 August, US Secret Service agents had raided premises in Washington and Idaho and the evidence seized would form the basis for the subsequent indictment of the eight US citizens. Added to this was the evidence from undercover investigations by the USSS who had obtained degrees from James Monroe University and had sought to enter into business relationships with its principals.
One last document remains to be examined. This was a letter from Dr Roland to USSS Special Agent John Neirinckx dated 1 February 2006.
>>Isaac Roland letter to USSS, 1 February 2006
The letter is clearly written in a clumsy attempt to delegitimize the SRU 1984 charter. To take a few points in turn:
- paragraph 1 seems to imply that no university could have been chartered in Liberia before 1989, when the NCHE came into existence. But there were and are several universities in Liberia that existed well before 1989. The University of Liberia, founded as Liberia College in 1847, is one, and Cuttington University (formerly College) is another, having been founded in 1889. From 1965 to 1972, the Ministry of Education also recognized the International Free Protestant Episcopal University, which conducted all its operations via distance learning.
- paragraph 2 makes reference to the National Policy on Higher Education as a means of delegitimizing the establishment of SRU. But the National Policy was only published in 2002, and several universities were legally established and operating before then.
- paragraphs 3 and 4 are therefore nonsense, since they contradict themselves.
Interestingly, at no point does the letter state, as SRU’s enemies might have expected it to, that the 1984 charter was false or fraudulent.
SRU in India
On 10 March 2004, SRU additionally incorporated as a charitable educational trust in India.

An office was established in Bangalore and an affiliation obtained with an organization called the Institution of Educators there. In India as of 2004, no government permission was required for a private body to confer degrees in non-technical subjects by distance learning, since the regulatory system then in force for distance learning programmes was voluntary. After SRU had transferred to James Monroe University, JMU obtained accreditation from the Distance Education Council of the Indian Board of Alternative Medicines, a large and well-regarded body.

JMU established a reciprocal credit transfer agreement with the accredited Kalinga University in Chhattisgarh. Unfortunately, in an unrelated development, the government in Chhattisgarh promptly closed all its universities and retrospectively annulled their accreditation. It would not be until 2011 that Kalinga University reopened, and by that time JMU was no more.
In the event, JMU’s operations in India ceased when its director, Abul Kalam Azad, broke acrimoniously with the SRU/JMU organization.
6. The legitimacy of the Liberian accreditation
Based on the discussion above, what conclusions can be drawn?
Firstly, between the dates of 28 August 2002 and 22 July 2004, SRU was fully accredited by the Liberian government, and this accreditation was confirmed by multiple Liberian government sources.
Faced with pressure from the United States authorities, Liberia disclaimed the accreditation of SRU as “null and void” with effect from 22 July 2004. However, on 20 December 2004, the Ministry of Education clarified that SRU was still “recognized” and therefore that it had government authority to operate as a university and issue degrees. While steps were taken by SRU to complete the Liberian accreditation process, these were incomplete at the time of SRU’s closure on 12 December 2004.
Even in light of the disclaimer, the degrees issued by SRU were still issued legally so far as Liberia was concerned, and in respect of their international status were issued by a university officially recognized by its national Ministry of Education, which is generally the standard required for acceptance universally.
The status of degrees that were backdated by SRU to dates before the award of accreditation in 2002 also appear to be legal. Backdated documents were considered to be valid in Liberia at that time. However, it would clearly not be possible for degrees issued prior to the grant of accreditation to be covered by that accreditation. Their only authority would be the SRU charter dated 1984. Given that this document had legal effect in Liberia, it would legitimize SRU degrees dated between 1984 and 2002.
Dr Roland’s statements of 2004 and 2006 were clearly issued under conditions of duress. Had the United States not issued an implicit threat of the withdrawal of funding to the Liberian Ministry of Education, Liberia would not have moved to disclaim SRU. The documents should be considered accordingly.
Was SRU a Liberian university? It was a crucial aim of the prosecution case in and following the indictment to establish that SRU was not a Liberian entity and that the documentation presented to the public that suggested otherwise was fraudulent. Charge 1, item 13 of the indictment reads in part, “It was further part of the scheme and artifice to defraud that defendants…led consumers, potential consumers, and others throughout the world to believe that “St Regis University,” “James Monroe University,” and “Robertstown University” were legitimate academic institutions of higher learning which had been officially accredited by the Ministry of Education in Liberia.” (Indictment of 5 October 2005, p. 5.)
But the answer from the Liberian Ministry of Education prior to 22 July 2004 was that SRU was a Liberian university and that its accreditation documentation was genuine and authentic. Even after that date, Liberia still “recognized” SRU as a legitimate university. Neither SRU nor its principals were ever charged with or convicted of any criminal offence in Liberia. Moreover, Liberia took no effective action to close SRU despite coming under US pressure to do so. Liberian government officials also repeatedly stated in official documentation that SRU was a Liberian university and not a US university.
Was the accreditation meaningful? Yes, but with a strong caveat. The issuing of accreditation in 2002 and 2003 was complicated by the fact that there were no established processes for evaluating applicants for accreditation that were operating entirely by distance learning, leaving those decisions to be taken ad hoc while Liberia was in a position of instability. In that context, the catalog of the university and the presentation by Richard Novak as its officer was the basis of the decision to accredit rather than a deeper analysis that would not have simply relied upon the university’s own statements and assurances.
But when in 2004 the National Commission of Higher Education set new criteria for SRU to achieve accreditation, there is evidence that SRU adapted and made the changes necessary to succeed in this process. Not merely this, but its physical facilities, programmes and professors were praised by Dr Roland of the Commission. By that time, however, US pressure on Liberia meant that SRU’s accreditation – and that of any other distance learning university – was effectively placed on indefinite hold.
It is also important to remember what accreditation does and does not do. Accreditation is primarily an examination of inputs. It is not a system of quality assurance. In many respects, accreditation is comparable to membership of an exclusive cartel. That cartel consists of the mainstream academic community worldwide. The cartel has its own rules, practices and expectations of newcomers. It is suspicious of outsiders who gain access to its privileges and who disrupt its way of doing things. Moreover, the cartel has influence, and access to political and legal enforcement. SRU entered the cartel through a legitimate route, but it was quickly apparent that it was such a threat to the established membership that it was imperative that it be ejected. That threat, despite SRU’s international reach, was most acutely felt in the USA, since SRU made dramatic and successful headway in the sector of the US market most targeted by lower-quality US accredited institutions operating through distance learning or short residency – mid-career adults.
Was the accreditation obtained by bribery? Retired detective Brian R. Breen was appointed by the court to assist the defence as an investigator. In his report to the court, Breen stated that he had visited Liberia and personally interviewed those alleged to have accepted bribes.
Throughout this case, a significant issue is whether the defendants in this case bribed foreign officials to obtain accreditation. The issue was so central to the case that we spent a great deal of time investigating it. Depositions of the relevant officials were authorized to be conducted in Liberia and would have been accomplished had this matter proceeded to trial. I was authorized to visit Liberia and in so doing I interviewed several former high-ranking Liberian government officials with whom these defendants transacted business. Those persons were Associate Justice of the Liberian Supreme Court, Kabineh Ja’neh, former ambassador Prince Porte, former Ambassador-in-Charge Abdulah Dunbar, and former Minister of Education Isaac Roland. All were confronted with the allegations made by Richard Novak that he bribed them and that are repeated without qualification in the [pre-sentence report]. All four of these men emphatically denied that they received bribes. All four readily acknowledged that they had accepted money from these defendants. However, all four explained clearly that these funds represented payments for services rendered.
It seems likely that, had the Liberian officials given evidence and the case proceeded to trial, there would have been no basis for the court to have concluded that they had been bribed. The testimony to the contrary from Richard Novak, as will be discussed below, was the testimony of a terrified and threatened man desperate to keep himself and his wife out of jail.
It is also worth emphasising that the sole way of legitimately transacting business in Liberia at this period in time was actually simply to pay cash to individuals in return for their professional services and assistance. Moreover, at a point where Liberian government officials were working without pay, it was expected that when they received money for services that they would use some of this to support themselves and their families. As Abdulah Dunbar would say in his response to the allegations, including those arising from a meeting with Novak and US Secret Service undercover agents, “we also used our good offices to negotiate with investors, and traveled with them to Liberia, to scout out and establish businesses in our country…there is a dire need for investors to go and help in rebuilding our country in all aspects.”
>>Statement of Abdulah K. Dunbar, 22 August 2005
>>Declaration of Brian R. Breen, 5 June 2008
7. Some further aspects
Dixie Randock possessed very significant drive and ambition. Once SRU had become financially successful, she wanted to make it even bigger, targeting the corporate education fund at Chrysler in particular. She approached the operation of SRU as if it were a trade school. It was brash and unashamed in selling its products, and marketed them both directly and successfully in a way that was not usually associated with the refined, middle class world of universities and degrees. There was an emphasis throughout on the ease of the process, the likelihood that many adults would qualify based on what they already knew, and the utility of the degrees in employment. It is notable that in the post-SRU era, this marketing style has come to be more visible within mainstream academia.
The position that was taken by SRU was that printing degree documents, maintaining websites, and conducting experiential assessments, were merely outsourced functions. On paper, there was nothing necessarily unreasonable in a Liberian online university employing a printer or academic staff in the USA, or basing its servers there. Certainly, Liberia had no problem with it. Nor did it obviously contravene any law in Washington or Idaho, where these resources were based. It was difficult to see that these things made SRU into an American university rather than a Liberian one.
It is interesting to note that during the First Liberian Civil War from 1989 to 1996, Cuttington University was looted and its buildings damaged. The campus was used as a training facility for militias. As a result, from 1990 to 1997, the school operated only at an office in the US state of Virginia. There was therefore precedent for the removal of a Liberian university to the USA under conditions of war. That removal did not make Cuttington cease to be a Liberian university, nor become a US university, and as a purely brick and mortar institution, these aspects were of greater significance for Cuttington than for an online entity.
Conceivably, since it was accredited in Liberia, SRU could have gone through the state licensing process for foreign-accredited universities in one or more states of the USA and then operated there without obvious difficulty. However, this would have meant that it would have become an onshore entity for tax purposes rather than remaining a non-US tax concern.
It is not difficult to see a strong theme of social class running through the SRU case. Dixie Randock and her associates were outsiders to the academic establishment, and Dixie had made her own money as a successful entrepreneur. Armed with the successful techniques that had built a trade school, they gatecrashed into academia, which remains one of the greatest middle-class strongholds. Criticism of SRU was predominately from the elitist middle-class; from academia and its representatives who were well-established inside the system and were easily able to identify SRU and its people as an out-group to be demonized and ridiculed for their comparative lack of sophistication. The media that denounced SRU was the mouthpiece for middle-class outrage, taking the side throughout of the establishment. Alan Contreras referred to the principals of SRU as “trailer-park hounds”(13).
For Dixie to be running a university with profit as a main objective was seen as anathema. Yet the mainstream is not always so shy of getting its hands dirty. University education is a business like any other, with billions at stake, and some exceptionally aggressive for-profit players within the mainstream. When they saw SRU trespassing on their turf, they determined to finish it once and for all.
8. The aftermath
In 2005, US Secret Service agents using false names and identities obtained degrees from James Monroe University, in one case following examination and in two cases on the basis of experiential assessment. The processes as described by them appear to have followed SRU’s published descriptions. They did not simply buy degrees outright, and indeed a request for a degree in chemical engineering was refused. However, the weakness of SRU’s systems was exposed. SRU failed to verify the identity of candidates and the truthfulness of their claims, and also, in the examination case, gave an award for a very low percentage pass. In addition, the agents attended meetings with Novak in which Novak made a series of highly compromising statements concerning tax evasion and other matters.
The eventual indictment, which was filed on 5 October 2005, seemed to me to contain much that was readily contestable and I suspected that the prosecution would find it difficult to obtain a conviction at trial. Indictments tend to take an extreme view of the case at hand, in the expectation that some at least of what is alleged will subsequently stick. The SRU indictment was extraordinary because it essentially presented the proposition that anything done by SRU in the name of academia that did not conform to the most conservative rules and norms of the accreditation cartel was thereby to be deemed fraudulent. Such an approach would outlaw any substantial experimentation or non-traditional offering within education. It was deeply ironic that Gollin’s earlier protests against his censorship by UIUC were in the name of academic freedom, whereas the indictment made it clear that for SRU, academic freedom was non-existent. In short, any school that attempted to break the mould of the norms of university education, or to contract with “unsophisticated consumers”, was to be deemed a diploma mill and condemned accordingly.
According to the government case, the Randocks’ degree-granting entities had issued 10,815 degrees to 9,612 recipients in 131 countries. They calculated the income from this as being some US$7,369,907.
It was also significant that it was not alleged that SRU had broken any law governing the operation of educational institutions in the USA. The states of Washington and Idaho, at the time of SRU’s operation there, did not prevent universities with foreign accreditation, or indeed no accreditation, from carrying out some or all of their functions within certain legal boundaries. There were no laws against granting degrees on the basis of the assessment of experiential learning either.
Count one against the defendants consisted of conspiracy to commit mail fraud and wire fraud. Count two consisted of conspiracy to launder monetary instruments. The indictment alleged that there had never been any Liberian accreditation; that SRU had never been a Liberian school, and that consumers had simply been defrauded into believing otherwise.
The United States system of justice relies on plea bargaining, and that system in turn encourages the filing of as many charges as possible against the accused in the awareness that some can then be used as bargaining collateral. Novak and another defendant pleaded guilty early, offered full assistance with the prosecution, and served no jail time. A further defendant did similarly at a later stage of the process and received a reduced sentence. The Randocks, however, were advised that they could be facing up to thirty years imprisonment.
Novak’s testimony was key to the prosecution case. When I had spoken to Novak in July 2003, he had impressed me as relaxed and competent, at home in his role dealing with members of the Liberian government and fully supportive and knowledgeable about SRU and its processes. The Novak that came through in the testimony was a very different character. In the USSS raids on 11 August, Novak and his wife, who has a serious long-term health condition and is cared for by her husband, had their house stormed by around thirty SWAT operatives. They were held at gunpoint and Novak was made to telephone Dixie with a gun to his head in the hope that this would produce incriminating evidence. None was forthcoming. However, Novak was the only one of the defendants to have substantially incriminated himself through his exchanges with Secret Service agents. In March 2006, additional charges that he had bribed foreign officials were brought against him. Now he was potentially facing even more jail time than the Randocks.
Novak was arguably the most vulnerable of the defendants and it is not difficult to imagine the psychological pressure put on him, particularly with respect to his wife, who had been an advisor for some of the degree candidates. He was offered a deal whereby if he provided substantial assistance to the government, he would stay out of jail. His wife was also kept out of things. Not only did he sing like a canary, he sang to the prosecution’s tune. His admissions in testimony seemed to be directly inspired by a wish to substantiate the allegations of the indictment. It seems likely, though, that they were the actions of a terrified man placed under unbearable stress.
Nevertheless, the Randocks held out. With all their assets sequestered as part of the investigation, they could not put together the legal team they would ideally have wished for, who would in their view have been able to have the case thrown out at the first court appearance. The team they did obtain lost interest in defending them when the money ran out. Before then, Dixie had noticed some worrying aspects. The defence team appeared to be very close pals with the prosecutors. They played hockey and drank together, and went to the Spokane Club for lunch together almost every day. She recalls, “We had no prior experience with this kind of situation, so even though it seemed strange and made us uncomfortable, we didn’t say much for fear it may alienate our own attorneys. When we did mention our feelings about the palling around with the other side, we were pretty much treated as though we knew nothing, and all this was ‘normal’.”
Of greater concern was the unavailability of crucial defence evidence, “When we requested documents, the feds always (every single time) told us “We can’t find this, or there is nothing like that here.” We had no way to prove anything because even the computers were taken and everyone who possibly could help us was afraid to get involved.”
The judge, Hon. Lonny R. Suko, had significant involvement with the academic establishment. He was a member of the Advisory Council of the College of Liberal Arts at Washington State University and also served as a member of the Board of Trustees for the WSU Foundation(14). WSU also recorded Judge Suko and his wife as significant donors(15). Dixie recounts, “I asked [my attorney] to ask for a recusal, but he said “Oh, I think he can be fair.” I surely didn’t think so, and it was apparent in every motion.” Read correctly, the position was simple; the judge was aligned with the forces of mainstream academia that were ranged against SRU.
The defendants were alleged to have violated the Foreign Corrupt Practices Act by paying the Liberian Ministry of Education US$4,000 to facilitate accreditation. The fee for accreditation had actually been a mere US$300; most of the remainder of the money had been spent on the purchase of the Liberian school and paying its back taxes. However, the FCPA does not apply to any “facilitating or expediting payment” the purpose of which is to expedite or secure the performance of a “routine governmental action,” i.e., “greasing” the local officials. What constitutes routine governmental action is described in “Investor bulletin” (n.d.)(16). Fox (2011)(17) explains some of the factors the Department of Justice will look at when reviewing a company’s FCPA compliance. Here is the pertinent point: bribe size is typically determined as a percentage of the value of the contract or the advantage itself. Bribes paid in transnational business may range from 5 to 25 percent or more, although the average benefit-bribe ratio calculated for the 18 FCPA cases studied was 20 percent. The bribes allegedly paid by SRU in Liberia had a benefit-bribe ratio calculated at 1.9 percent, the lowest of those studied (Manacorda, Centonze & Forti, 2014, p. 210)(18). SRU was clearly an “outlier,” to say the least. This seems like a strong indicator that the prosecution was actually politically motivated.
Another pillar of the prosecution case was the alleged risk that terrorists might use a SRU degree to immigrate to the USA. But this again was based on the flimsiest of evidence. Breen’s declaration also addressed this, “It is implied that the activities of these defendants allowed the issuance of inappropriate H-1B visas to foreign “victims”. Indeed the indictment alleges as much. However, there is no evidence provided in the discovery that more than one H-1B visa was issued to any of the persons who purchased degrees from these defendants.” The one case was not a terrorist, but an undercover US Secret Service agent posing as a man from Syria.
>>Declaration of Brian R. Breen, 5 June 2008
Much of the pre-trial argument also centred on seizures by US Secret Service Agents that were made contrary to the terms of the warrant and policy. This was argued vigorously by the defence but was ultimately overruled by the judge. It seemed to me, however, that this aspect would have provided a key basis for an appeal had the case proceeded. According to Dixie, “Even though the feds did break into our Idaho office, they said a door “just popped open” and of course the judge believed this. Even our attorneys admitted had it been ANY other judge it would have thrown out.”
Dixie and Steve both testified as part of the pre-trial hearings. Dixie recalls, “We never once blamed each other in any way, nor did it cause us any marital problems and never has to this day.”
Some key points were won by the defence in the pre-trial process. The most important of these was in February 2008, when the judge agreed to preserve the testimony of the Liberian government officials by deposition where necessary. The prosecution had opposed this strongly, aware that if it went ahead, it would reveal the role of the US government in pressurizing the Liberians to withdraw SRU’s accreditation. Not only that, it would show the majority of Novak’s testimony to have been false. Surprisingly, Dixie has said that her attorneys did not make her aware of this development.
Immediately afterwards, the defence then moved for further discovery, inter alia requiring the government to reveal any promises made or “deals” with government witnesses, and the identities of confidential informants. A further item read, “It is requested that the United States state whether the defendant was subject to any electronic surveillance by George Gollin or any other private person or entity, and, if so, set forth in detail the circumstances to such surveillance.”
The next move was what one would expect from a prosecution on the ropes. In March 2008, the Randocks were offered a deal; if they agreed to plead guilty to conspiracy to commit mail fraud and wire fraud, the money laundering charges would be dropped and they would serve three years imprisonment, either in jail or in home confinement. Dixie said,
We were told we have 30 minutes to accept the plea deal. It was pretty much like you see in horrible movies of people being terrified and extremely pressured, even threatened if we didn’t take the deal. We absolutely knew we were guilty of nothing. We broke no laws. How can anyone be convicted for doing something that was not illegal?
But, the attorneys told us that a jury would convict us because we made a lot of money, and we were well known successful businesspeople before this – and there was jealousy.
Both Dixie and Steve Randock duly served three years in jail plus three years supervision. After three long years of pre-trial argument and hearings it was all over. There was no trial, and consequently no argument was heard on some of the most important aspects of the case. The guilty pleas to the wording of the indictment offered the academic establishment everything it could have wanted in the way of an outcome. It also offered a clear opportunity for the politicization of the whole case and the demonization of SRU’s graduates and faculty.
The Randocks were not ordered to pay any restitution to their victims. Indeed, there were no “victims” other than the education establishment. That is not to say that every graduate was satisfied, but rather that the source of their dissatisfaction did not properly rest with SRU. Brian R. Breen’s declaration of 5 June 2008 states that the US government conducted national advertising to search for “victims” of the defendants, providing a toll-free number, “Of the thousands of alleged degree holders, the government received approximately only 18 calls. The majority of these calls were the result of the government specifically and individually contacting “victims” or the owners of affiliate schools and instructing them to call or have their clients call the 1-800 number.” Dixie says, “I loved our clients, many became good friends, and all that I ever had contact with were extremely happy.” Legally, the terms and conditions accepted by clients when they entered into a relationship with SRU had been very clear. There was no scope for clients to misunderstand either the process or the resulting award.
I was not contacted at any stage of the investigatory or pre-trial process by any authority, and did not have contact with any of the defendants at that time. Had I been contacted, I would have co-operated fully with any investigation and offered any assistance that I could have provided. None of the vast number of court papers that I have seen identify me or any of my business concerns, which were always fully separate from those of SRU. Nevertheless, it is clear that certain individuals who are opposed to my academic and political work and resentful of my success have sought to make capital out of the SRU case. They cannot do so through anything other than the lies, smears and personal attacks that have been the stock-in-trade of the arguments surrounding SRU from their outset.
My business partner Dr Sheila Danzig – our business relationship began in 2005, after SRU had closed – had been involved in evaluating SRU degrees in her capacity as an evaluator of foreign credentials. She used the registered business name Liz Ross for this work. She was interviewed as part of the investigation, and fully exonerated from any wrongdoing. No charges were ever brought against her or anyone else who had been involved in her business.
9. Conclusions
The entire case gives rise to major concerns. It seems clear that the US Government contrived to persuade Liberia to declare SRU’s accreditation “null and void”. Once this had been done, they were able to bring fraud charges against the defendants on the grounds that they never had the accreditation that they had claimed. Lastly, they would see that the case was tried before a judge who was sitting on the board of trustees of one of SRU’s competitors. Because there was no trial, incidentally, the 300+ US Federal government employees who held SRU degrees were allowed to sweep the whole episode quietly under the carpet.
The result cannot have been what those supporting the prosecution had hoped for. Gollin’s book about the SRU case, which has yet to appear, is apparently entitled “A Dream of Serpents”. According to the astrologers of The Times of India, to dream of serpents denotes disappointments in the future(19). Federal lawmakers did agree to write a definition of a diploma mill into statute (and by the evidence above, SRU did not qualify), but they saw the cartel’s other protectionist efforts for what they were, and rejected them wholesale. For those who had wanted to make major capital out of SRU, the results can only have been disappointing.
Gollin’s account of the case in a chapter of a book by Bear and Ezell makes for interesting reading. Gollin’s approach is that of the research scientist. His writing is hugely detailed, immaculately referenced and constructed with logic. Its Achilles heel is that it offers little in the way of a humane perspective. The defendants are presented as one-dimensional villains with their every flaw or bad decision magnified. There is no insight into their complex motivations and no empathy. The result is simply a polemic that reflects Gollin’s own strong convictions and his unshakeable belief that he was morally in the right throughout. There is no attempt to address the topics of non-traditional education, experiential credit, or the reasons why market-driven or democratic reforms of the educational establishment might be advanced.
As a tenured professor in the hard sciences at a leading mainstream university, Gollin is a prime example of those who benefit from the protection of the academic status quo. As a graduate of Harvard and Princeton, which are both academically and socially elite institutions, he is also proof that the most vociferous criticism of SRU was class-based, consisting of an academic ruling class outraged by blue-collar upstarts on “their” turf.
The politicization of the case was nowhere more clear than in the statement by Barmak Nassirian, associate executive director of the American Association of Collegiate Registrars and Admissions Officers, who stated regarding the SRU case, “People who buy diplomas from diploma mills are not victims; they are co-conspirators.”(20)
This article presents a different view. I believe that I have shown that, (a) on the evidence that was available to the public prior to 22 July 2004, that it was wholly reasonable for an inquirer to conclude that SRU was accredited by the Liberian government, and even after that date it was still “recognized”; and (b) that most of those who graduated from Saint Regis University went through processes that were radical and academically unorthodox, but nevertheless were genuine and legitimate by the standards of progressive non-traditional education that SRU espoused. Lastly, I have shown that there is good reason to believe that the problems SRU experienced with regard to its accreditation were the result of pressure on Liberia from the US government.
In 2008, a list of some 9,612 individuals was leaked on condition of anonymity by a state government official to the press. This list was then published by at least one newpaper with the assertion that the individuals listed had “bought” a degree from Saint Regis University. However, as reported by the Washington Post, “Names on the list might include some people who only inquired”(20). A further clarification was published excluding the 27 names of those who had purchased degrees as part of the criminal investigation or otherwise to assist the US authorities. Examination of the list also shows that some of the information on it regarding degrees apparently issued and the names of those concerned is manifestly inaccurate.
The list alleges that I was awarded a PhD by SRU. I was never awarded a PhD by SRU, nor did I ever inquire about receiving one. On the contrary, I received the degree of Doctor of Education from SRU on 3 July 2003. To earn the degree, which I pursued purely from personal interest, I submitted a substantial portfolio of work relating to my teaching career, including several book-length pedagogical guides. This was then assessed through peer evaluation, and I also had a substantial input in the process through self-evaluation to prepare the transcripts. Anyone who alleges that I – or many others on the list – knowingly “bought” a degree does so falsely and commits libel. I remain of the view that I earned a real and meaningful degree from a university fully accredited by the Government of Liberia through a progressive, non-traditional (and inevitably controversial) educational process. It was a process that I believe in and that I continue to support.

It’s not a PhD
Some six years later, I would earn a second Doctor of Education degree in a different concentration from a further government-accredited university via distance learning, this time in a much more conventionally-structured programme.
I have consistently advocated for non-traditional distance education for more than twenty years, and in the course of this have exchanged opinions with many who have been involved in non-traditional education and distance learning both as owners of schools, faculty and students. In my professional practice, I have provided expert opinion on both traditional and non-traditional credentials from all over the world. I have founded and administered several non-traditional schools myself, and served on the faculties and boards of others. In my exploration of distance education, I have sought quality and distinctive provision among schools that are not part of the mainstream sector, and on quite a few occasions I have found it. At the time that SRU was operating, I served as head of a private religious school and a non-traditional university. I do not regret my support for SRU. I have known schools with problems similar to SRU overcome those problems and turn around with the right management. I have also known schools that today are very much an established part of the educational mainstream that did not look so very different from SRU during the 1980s and 1990s. It is a tragedy that SRU’s potential was never truly realized.
How then should the graduates of SRU be treated? Since their degree requirements were completely individualized, they must be taken on a case by case basis. As discussed above, all SRU’s degrees so far as can be established were from an institution accredited and/or recognized in Liberia, and so they hold governmentally recognized degrees. Some presented dissertations and coursework, which were sometimes considerable, to earn them. Some combined credits from previous formal studies. Others had experiential learning that legitimately qualified them for the degrees they were awarded. However they earned their degrees, these graduates deserve recognition for their achievements rather than the hostile treatment they have received at the hands of the media, the education establishment, and their allies.
SOURCES AND REFERENCES
Websites at saintregis.edu.lr, saintregisuniversity.ac, advancedu.org and other URLs associated with SRU were consulted via a collection of saved webpages made in 2003-04 and the Internet Wayback Machine.
Court documentation regarding the SRU case was consulted via http://www.gpo.gov. In addition, much court documentation and other useful information can be found at the website of Dr George Gollin at http://www.hep.uiuc.edu/home/g-gollin/pigeons/#usss_sru
Interviews were conducted electronically with Mrs Dixie Ellen Randock on the record, and with other sources off the record.
(1) Bear, John B. and Mariah P, Bears’ Guide to Earning Degrees by Distance Learning, 14th ed, Ten Speed Press, Berkeley, CA, 2001, p. 45.
(2) College president among those with questionable degree, Associated Press, 26 March 2004.
(3) In brief: Not everybody on the list bought degrees, Spokesman Review, 30 July 2008.
(4) Jones, Mohamedu F., Who is the Lawful Chargé d’Affaires at the Liberian Embassy in Washington, DC? in The Perspective, Atlanta, GA., 12 December 2003.
(5) Andrea L. Foster, U. of Illinois Administrators Ask Professor to Remove Web Site About Diploma Mills, Chronicle of Higher Education, 13 October 2003.
(6) Gollin, George D., “Burning St Regis” in Bear, John B., and Ezell, Allen, “Degree Mills: The Billion-Dollar Industry That Has Sold Over a Million Fake Diplomas“, New York, Prometheus Books, 2012.
(7) Wilson, John K. Fear of a Website at UIUC in Illinois Academe, Fall 2003. Retrieved from https://ilaaup.org/news/IllinoisAcademe/FIA_2003_IL_REPORT.pdf
(8) Wolman, David FraudU: Toppling a Bogus-Diploma Empire in Wired, 21 December 2009. Retrieved from https://www.wired.com/2009/12/ff-fake-physics.
(9) https://www.degreeinfo.com/index.php?threads/american-coastline-university.4967
(10) https://www.degreeinfo.com/index.php?threads/please-destroy-or-return-your-copy-of-my-book.9418/
(11) Drews, Elizabeth Monroe Quality is Next, Association for Supervision and Curriculum Development, 1960.
(12) https://ballotpedia.org/George_Gollin
(13) https://www.degreeinfo.com/index.php?threads/professor-george-gollin.18986
(14) http://www.collegesuccessfoundation.org/foundation.htm retrieved August 2008.
(15) http://www.collegesuccessfoundation.org/forms/CSF_annualreport_2007.pdf retrieved August 2008.
(16) Investor bulletin: The Foreign Corrupt Practices Act–prohibition of the payment of bribes to foreign officials. (n.d.). Securities and Exchange Commission. Retrieved from https://www.sec.gov/investor/alerts/fcpa.pdf
(17) Fox, T. When does a grease payment become a bribe under the FCPA? FCPA Compliance & Ethics, 2 February 2011. Retrieved from http://fcpacompliancereport.com/2011/02/when-does-a-grease-payment-become-a-bribe-under-the-fcpa/
(18) Manacorda, S., Centonze, F., & Forti, G. (Eds.). Preventing corporate corruption: The anti-bribery compliance model. 2014, New York: Springer.
(19) https://timesofindia.indiatimes.com/astrology/others/dream-interpretation-beginning-with-alphabet-s/articleshow/68205686.cms Dr Gollin explains that his inspiration for the title was, in fact, Arthurian legend at https://downwithtyranny.blogspot.com/2014/02/winning-back-il-13-meet-george-gollin.html
(20) Strauss, Valerie, Hundreds linked to diploma mill, The Washington Post, 31 July 2008.